
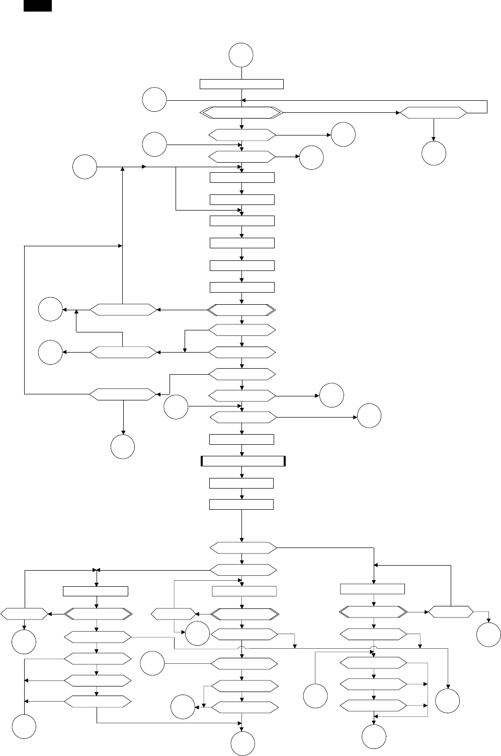
TX
TX3
TX1
Tum on TEL LED
Command received?
DIS or DTC
Polling mode?
Set mode
ER
RX1
Insert document
Send DCS
Make 75msec delay
Send traning
Send TCF
Response received?
DIS?
DTC?
FTT?
CFR?
Document on?
Send traning?
Send image information
Send RTC
75msec delay
TX2
ER
T1 elapsed?
TD
TD
TX6
TD1
TD
TX1
3 retrys?
3 retrys?
Fall back possible?
TD1
Tx3
3 times?
Send EOM
Response received?
PIN or PIP
MCF
RTP
RTN
TX6
TD1
TX2
3 times?
TD
RTN
RTP
MCF
PIN or PIP
Response received?
Send MPS
Mode change?
Last document
Send EOP
Response received?
3 times?
TD1
TD
DL
TX7
RTN
RTP
MCF
PIN or PIP
NO
NO
NO
YES
YES
NO
YES
NO
YES
NO
YES
YES
YES
NO
NO
NO
YES
NO
NO
NO
YES
YES
YES
YES
YES
YES
NO
NO
NO
NO
NO
YES
YES
YES
YES
NO
NO
NO
NO
YES
YES
NO
YES
YES
YES
YES
NO
NO
YES
YES
NO
FLOW-VE-2
YES
YES
NO
NO
NO
YES
YES
NO
NO
YES
AR-F152
6 – 11
Kommentare zu diesen Handbüchern